新闻
学院新闻当前位置: 九游(中国) > 学院新闻 > 正文

成果推介 | 马海涛 陈宇 刘玉环 吴彬桢:中国跨国企业的国际避税及其治理研究——基于关联交易微观数据的分析

发布时间:2025-09-06 浏览次数:

中国跨国企业的国际避税及其治理研究

——基于关联交易微观数据的分析



马海涛 陈宇 刘玉环 吴彬桢 | 文



马海涛中央财经大学校长、教授,经济学博士;  


陈宇九游电子副教授,经济学博士;


刘玉环华为技术有限公司税务专员,税收学硕士;


吴彬桢九游电子硕士研究生。

[摘要] 文章基于2003—2023年上市公司关联交易数据,使用多期DID模型研究中国跨国企业的国际避税及其治理。研究发现,中国母公司在与避税地子公司进行关联交易后,利润总额显著降低,这表明确实发生了利润转移行为。机制分析发现,利润转移主要是通过转让定价、策略性无形资产配置和资本弱化实现。异质性分析表明,利润转移行为在高营业成本、低无形资产母公司表现得更为突出。进一步分析发现,BEPS和CRS反避税制度的实施有效抑制了企业向境外避税地子公司利润转移的行为。文章从中国母公司与避税地子公司进行关联交易的角度分析了企业税基侵蚀是否存在、如何实现以及如何治理的问题,为理解中国跨国企业的国际避税状况以及如何加强反避税治理提供经验支撑。


[关键词] 国际避税;避税地;关联交易;反避税治理

一、引言

在经济全球化持续深入的背景下,跨国企业在优化国际投资布局、拓展全球价值链、推动跨境经贸合作的同时,也不可避免地加剧了利用各国税收制度差异进行利润转移的行为。这种“税收套利”现象日益频繁,直接导致诸多国家面临税基侵蚀与税收收入流失的严峻挑战。为此,构建更加公平、高效与协调的国际税收治理体系,遏制跨境避税行为,已成为当前全球税收治理的重要议题和制度变革的关键方向。以G20背书、OECD主导的BEPS行动计划和CRS为代表的反避税治理框架,正在引导各国迈向更高水平的税收透明化和合作共治。中国高度重视并积极参与全球反避税治理。自2014年起,习近平主席多次在G20峰会等国际场合明确表态:中国坚定支持加强多边反避税合作,打击跨国逃避税行为,推动国际税收公平。

从中国企业的实践来看,随着“走出去”战略和“一带一路”倡议的深入推进,中国对外直接投资(OFDI)持续增长,对全球经济的参与度不断提高。根据2024年9月商务部等部门联合发布的《2023年度中国对外直接投资统计公报》,截至2023年底,中国3.1万家境内投资者在全球189个国家(地区)设立了4.8万家对外投资企业,境外企业资产总额近9万亿美元,继续保持全球前列。这一趋势彰显了中国企业在全球市场中的活跃地位和资源配置能力。

然而,从数据分布来看,中国企业的对外直接投资和关联交易在地区选择上高度集中于特定地区。例如,2023年我国对外投资存量的前三大目的地为中国香港、英属维尔京群岛和开曼群岛,关联交易排名前三的为中国香港、新加坡、英属维尔京群岛。这种投资格局的背后,是否存在跨国企业通过结构性安排将利润转移至低税负辖区、规避税收责任的行为,值得警惕和深入研究。此类行为不仅对我国税基造成潜在侵蚀,还削弱了税制的公平性与国家财政的可持续性。

因此,评估中国跨国企业在对外投资及经营过程中是否存在利润转移行为,识别其转移渠道并研判BEPS、CRS等反避税制度的治理效果,不仅对于认识我国跨国企业避税现状、完善反避税机制、保障国家税收主权具有重要的现实意义,更为中国积极参与全球税收治理、推动建立公平可持续的国际税收秩序提供经验证据。

对此,学界持续开展了对国际避税及其治理的研究。然而,由于数据的限制,相关文献集中于对美国、欧盟跨国企业避税行为的研究,国内实证研究尚不充足,且少有基于中国作为资本输出国视角的研究。据此,本文基于国泰安数据库2003—2023年沪深A股上市公司数据,将与避税地子公司进行了关联交易的企业作为实验组,仅与非避税地子公司有关联交易的企业作为对照组,采用多期双重差分模型分析关联交易是否会影响境内母公司利润水平,以验证企业是否存在利润转移行为。最终结果表明,企业存在向避税地子公司通过关联交易转移利润的行为,且该结论在一系列稳健性检验后依旧成立;利润转移的主要方式为转让定价、策略性无形资产配置和资本弱化。进一步研究表明,BEPS和CRS的反避税制度一定程度抑制了母公司的利润转移行为。

本文的贡献主要有以下两点:第一,本文构建了基于关联交易视角的中国跨国企业税基侵蚀及反避税效应分析框架,系统揭示了转让定价、策略性无形资产配置与资本弱化三方面的利润转移实现机制,拓展了发展中国家企业的国际避税及其治理研究的文献。第二,在现实意义方面,本文不仅识别了营业成本比例、无形资产配置等特征对利润转移强度的异质性效应,而且评估了BEPS行动计划与CRS信息交换机制的治理效果,量化了国际税收协作的制度红利,为G20、OECD税改方案在发展中国家落地提供了经验借鉴。

二、文献回顾与研究假设

(一)文献回顾

1.利润转移行为识别

当前实证研究中广泛用到的基本方法是由Hines & Rice创立的,将子公司可观测到的税前利润看作真实利润和转移利润之和,真实利润是通过资本和劳动投入产生的,转移利润是出于税收动机而转入或转出子公司的利润。那么位于低税率国家和地区的子公司申报的利润中,无法由自身资本和劳动投入解释的部分就归因于利润转移。这个基础方法存在一些问题,比如,如果一个子公司因存在大量无形资产而申报了很高的利润,但其与母公司税率差异很大,劳动和资本投入又很小,这样高利润就会被错误地归因于利润转移。受到当时数据的限制,他们仅进行了宏观的国家层面的分析。随着微观数据的可获得性不断提高,Huizinga & Laeven利用欧洲跨国企业子公司的数据,采用类似方法验证了母子公司以及子子公司之间的利润转移行为。

在子公司详细数据不可得的情况下,研究所采用的一种解决方法是用母公司国外税前利润与销售比值作为利润转移的代理变量,以全球利润与销售比值、税率差作为主要解释变量。理论机制为,在不存在利润转移的情况下,全球和国外的收益率应该是相等的,如果存在差异,则是由于利润转移导致的。Collins et al.用这种方法研究了美国跨国企业基于避税动机的利润转移行为,认为相对于将美国母公司收入转出到低税率子公司而言,更多的是将高税率子公司的收入转入美国,因为前者利润汇回时依然需要补税,没有产生税收利益,并且利润转移受到诸多限制,比如国内税法和税收协定的约束、转移成本或惩罚、经营考虑等。然而,这个方法存在假设过强和一些内生性问题。Weichenrieder用了另一种方法解决,他将是否为全资子公司引入解释变量,若存在利润转移行为,那么全资子公司没有少数股东的干扰将更有利于利润转移,其系数的大小与正负便可以说明问题。德国的税率相对较高,跨国企业有很强的动机将利润转移到国外,伪装成免税的股息再汇回,Weichenrieder利用德国对外直接投资数据(1996—2003)验证了跨国企业的利润转移行为。

还有部分研究采用了非线性模型,Dowd et al.认为,如果存在利润转移成本,那么本着成本最小、收益最大的原则,利润转移地不会特别分散,在税率非常低的地区会非常集中。通过与现实的地区财富分布对比以及进一步的实证检验,他们发现线性模型确实是不恰当的,因此创新地提出了非线性模型,引入二次项并用避税地数据得到了更高的反应系数。

大部分学者的研究都证明了跨国企业利润转移行为的存在,并测算出利润转移具有相当大的规模。然而,Dyreng et al.使用美国企业所得税现金实际税率作为被解释变量,发现过去25年跨国企业与国内企业的所得税率以相同的趋势在下降,跨国企业并没有形成更低的实际税率,将实际税率的下降仅归因于跨国企业避税是错误的。

2.利润转移中间渠道研究

Dharmapala & Riedel在原有识别方法上进行了突破,利用母公司利润变化对子公司利润的影响来识别跨国企业利润转移行为,通过使用母公司利润的代理变量解决了部分数据不可得以及一些内生性问题,研究发现欧洲跨国企业存在利润转移行为。他们继续研究了利润转移的中间渠道,将息税前利润作为被解释变量研究通过转让定价进行的利润转移,将财务收益以及债资比作为被解释变量研究通过内部债务转移进行的利润转移,发现利润转移主要是通过债务规划实现的。这可能是因为选取的样本中母子公司不在同一行业,转让定价受限所致,并不能否定跨国利润转移中转让定价的作用。Heckemeyer & Overesch、刘志阔等同样使用息税前利润对利润转移的渠道进行了研究,发现转让定价和操纵无形资产才是利润转移的主要渠道,而非企业内部债务安排。白思达通过中国在出口目的地企业所在国是否存在关联方以及企业所得税税率差对出口商品价格的影响,研究了跨国企业关联交易的转让定价问题,发现关联交易价格显著低于非关联交易的公平交易价格,企业通过转让定价进行了跨境利润转移。

3.中国税基侵蚀与利润转移研究

近年来,中国税基侵蚀与利润转移(BEPS)研究逐渐涌现,主要聚焦于跨国企业避税行为的驱动因素、转移方式、经济效应等方面。在影响因素方面,企业规模、所有制性质、行业属性、注册所在地税收监管强度均显著影响避税强度,如内资企业较外资企业更倾向于通过出口价格操纵转移利润;同时,企业各项经济指标也将影响其利润转移决策,如融资约束强化了企业对现金流的敏感度,进一步推高了避税规模;何杨和杨武基于中国作为资本输入国的角度,研究了境外跨国母公司与其中国子公司之间的利润转移行为,发现各国间的税率差异会导致避税行为的发生。在转移方式方面,研究表明转让定价仍是核心手段,避税地投资企业通过压低出口价格转移利润,并利用母子公司所在地税率差异进行关联交易,使子公司异常利润显著增加,以实现集团层面税负最小化;同时,还有如虚增交易量、资本弱化、调节无形资产授权费比例等一系列手段实现利润转移,导致高税率所在地企业营业利润率降低。在经济效应方面,跨国企业向避税地的利润转移行为造成显著的税收流失,出口环节所得税流失在一年内便达到6.44亿元,避税地投资导致母公司利润减少12%—14%。也有一些研究关注了国际与国内反避税措施的效应,如税收情报交换协定实施后,与港澳签订的协定提升了约7.19%的企业利润率,而港澳以外避税地却下降了4.25%左右。在国内反避税方面,“金税三期”工程有效遏制了关联企业间非公允交易行为产生的异常利润转移,税源流失态势得到改善。然而,当前国内实证研究相关文献较少,且基于中国关联交易数据和资本输出国视角考察我国税基侵蚀以及国际反避税政策效应的文献亟待补充。

综上所述,对于跨国企业的利润转移行为及反避税效应,学者尚未在实证研究中得到一致的结论。其原因在于各学者选择的计量方法、使用的模型、采用的数据、选取的解释变量及运用的理论机制等存在较大的差异。此外,关于此问题的实证研究主要是针对美国、德国、欧盟等一些发达国家和地区。而中国的国际税收制度、资本流动限制、市场开放程度及时间等与这些发达国家有明显差异,所以不能简单地将结论套用于中国。本文利用中国本土上市公司关联交易的微观数据对此问题进行实证研究,为研究跨国企业利润转移行为及反避税政策效应提供了中国证据,具有一定的理论与现实意义。

(二)研究假设

1.跨国企业税负最小化动机与关联交易:利润转移至避税地

根据现代公司财务理论,企业价值最大化目标驱动着跨国企业在法律框架内寻求最优税务安排。国际税收体系中的管辖权划分原则与税率差异为此类行为提供了制度基础。具体而言,属地征税原则与居民征税原则的交叉适用,叠加各国企业所得税率的显著差异,形成了跨国企业进行利润转移的核心动因。因此,在全球资本流动高度自由化的背景下,跨国企业作为以利润最大化为核心目标的理性经济主体,在制定跨国经营战略时不仅关注市场扩张和生产效率,还高度关注税收成本的优化安排,普遍采取将利润从高税负国家转移至低税负国家或地区的策略以达到税负优化的目的。

关联交易由于具备操作空间大、内部信息透明、交易成本低以及隐蔽性、合规性等特点成为跨国企业进行税收筹划、利润转移的“首选工具”,而避税地通常具备企业所得税率极低甚至为零、金融监管宽松、信息披露义务较低等特点。在两方面因素的共同作用下,企业更倾向于通过与避税地的关联交易转移利润并规避母国税收监管。

基于上述分析,本文提出以下研究假设:

H1:与避税地子公司存在关联交易的中国母公司,其税前利润显著低于与非避税地子公司存在关联交易的母公司。

2.利润转移渠道:转让定价、无形资产配置与资本弱化

在具体利润转移渠道上,跨国企业在操作层面采取了多样化和隐蔽化的策略,主要方式包括转让定价策略、无形资产配置策略与资本弱化策略三类。

首先,转让定价策略是指企业在集团内部设定非市场化的交易价格,从而调整应税利润的分布。例如,避税地子公司向高税地母公司出售服务或产品时抬高售价,使母公司在会计账面上体现出更高的采购成本,从而压低税前利润;反之,低税地子公司以远低于市场价购入母公司产品,从而积累更多应税收入。其次,跨国企业的无形资产配置已成为近年来国际税收政策的重点监管领域。无形资产(如专利、技术等)通常估值弹性大、难以准确界定使用边界,因而成为转移利润的重要工具。跨国企业通常将核心无形资产产权集中在避税地子公司,而位于高税地的母公司或其他子公司需支付高额特许使用费,形成大量可抵扣成本,从而大幅压低应税利润。最后,资本弱化策略通过调整债务与权益资本结构实现税负优化。母公司通过债权形式向避税地子公司提供融资,再以高利率收回利息,因利息通常具备税前扣除资格从而能有效减少母公司的应纳税所得。同时,这类财务安排还可隐蔽地改变资金的所有权结构而不被视作利润分配。

基于上述机制,本文提出如下研究假设:

H2:中国母公司通过转让定价、策略性无形资产配置和资本弱化的方式将利润转移至避税地子公司。

模型设定与数据说明


(一)模型设定

本文使用多期双重差分方法进行利润转移识别,既可以通过固定效应解决遗漏变量问题,又可以排除一些其他因素对结果的干扰,很好地解决部分内生性问题。基本步骤是:1)选取仅与非避税地子公司有关联交易的企业为控制组,需要满足其利润总额变化趋势在跨国企业与避税地子公司进行关联交易时点前,与实验组基本平行的条件。2)计算控制组在跨国企业与避税地子公司进行关联交易时点前后的差异。在满足平行趋势假设的前提下,这个差异基本可以反映非关联交易因素对利润总额的影响。3)计算控制组在跨国企业与避税地子公司进行关联交易时点前后利润总额的差异,再剔除第二步计算出的差异,即可得到跨国企业与其避税地子公司进行关联交易对利润总额的净影响。

双重差分估计的有效性很大程度上取决于控制组的选择,即控制组要能够作为实验组的“反事实”,两者除了在与子公司关联交易方面有差异外,其他方面需尽可能相同。本文将在研究期间与避税地子公司进行关联交易的企业划归实验组,共有246家企业;仅与非避税地子公司有关联交易的企业划归控制组,最终识别得到控制组583家企业,实验组和控制组的数据量相对平衡。本文后续部分将对时点前后实验组和控制组的时间趋势是否一致进行检验。

本文的基本回归模型如下式(1):

5809

E875


(二)变量说明

1.被解释变量

目前国内外各学者采用了许多与利润有关的变量来反映跨国企业的利润转移行为,如销售利润率、税前利润总额的对数、资产收益率等。考虑到本文的直接研究对象为利润转移行为,利润大小可直接体现企业与境外的关联交易,因此,参照刘志阔等的研究,采用税前利润总额的对数(lnprofit)作为主要被解释变量。此外,为进一步提升研究结论的可靠性,我们还尝试了其他替代性指标如销售利润率及资产回报率等,在稳健性检验部分报告。

2.核心解释变量

中国本土企业在对避税地进行对外投资过程中有一定的避税动机,可能存在利润转移行为,这种行为主要是通过关联交易进行的,因此本文将跨国企业是否与避税地子公司进行关联交易作为核心解释变量对利润转移行为进行识别。

3.控制变量

根据已有文献,本文选取了一系列与被解释变量相关的指标作为控制变量,包括企业规模(size)、企业年龄(age)、固定资产比率(nfa)、现金流比率(cf)、股权集中程度(equity)、劳动报酬占比(labor)。

4.机制检验变量

当前的理论和实证研究认为利润转移的中间渠道主要为转让定价和资本弱化。本文参考Heckemeyer&Overesch的做法,将企业息税前利润的对数(lnebit)作为通过转让定价渠道进行的利润转移的衡量指标;将债务相关指标企业债资比(DA)等作为通过资本弱化渠道进行的利润转移的衡量指标。

(三)数据来源及处理

1.关联交易及税率信息

本文基准回归使用的关联交易信息来自国泰安数据库提供的公司关联交易数据库。该数据库包含在上交所和深交所A股上市公司的基本情况数据,包括公司名称、行业名称、行业代码、公司成立日期及公司上市日期;2003—2023年企业关联交易数据,包括证券代码、公告日期、关联方、关联关系、上市公司控制权益比例、关联方所在地等信息。本文判断企业关联方所在地是否为避税地清单来自OECD。

本文根据每一条关联方所在地信息及税率信息筛选出所有与避税地子公司进行关联交易的企业目录,以及仅与中国境内子公司发生关联交易的企业目录。中国跨国企业与子公司关联交易的地区分布如图1。

1B788

图1 中国跨国企业与子公司关联交易的地区分布



2.企业利润等财务信息

本文计量使用的企业财务数据,如利润总额、资产、负债、销售收入等,来自国泰安数据库提供的2003—2023年公司财务报表数据库。本文将上述企业关联交易信息、基本情况信息与企业财务数据相匹配,然后计算所需指标数据,在进行各项回归时,对各个指标数据缺失值、异常值及某些负值进行了剔除处理,因此各个回归结果中的观测值可能会略有差异。

3.其他相关信息

企业所有权性质信息来自国泰安中国上市公司股东研究数据库所包含的企业实际控制人性质及名称等信息。

各变量的描述性统计如表1所示。

表1 变量说明及描述性统计

35AC5


 

四、计量结果分析


(一)基准回归结果

理论上,若中国境外子公司适用的企业所得税税率低于中国母公司,中国母公司会倾向于将更多的利润转移到境外子公司,适用更低的企业所得税率以减少整体应纳所得税额,因此,与不和避税地子公司进行关联交易的企业相比,这些企业的税前利润会相对较低。基准回归结果见表2,可以看出各系数均显著为负,即中国与避税地子公司进行关联交易显著降低了中国母公司的利润总额,这验证了上述理论中提到的企业利用与避税地子公司的关联交易进行利润转移的行为。

除控制了企业层面的一些变量外,表2的第(1)列还控制了时间固定效应和行业固定效应,以剔除随时间和行业变动的影响因素。第(2)列控制了企业固定效应和时间固定效应,用以剔除企业的一些个体特征差异和时间效应对结果的干扰。第(3)列控制了企业固定效应以及时间和行业固定效应的交乘项。由回归结果可以看出,控制不同效应后,核心解释变量的系数仍显著为负,即企业与避税地子公司进行关联交易确实导致了利润总额的减少,这类关联交易严重侵蚀了我国的税基。

表2 基准回归结果

2BEB8


 

(二)稳健性检验

1.平行趋势及动态效应检验

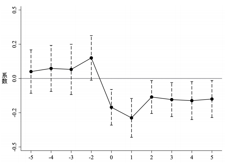
与避税地子公司进行跨境关联交易的企业的利润总额,是否在进行关联交易之前就与仅进行非避税地关联交易的企业产生了明显差异?如果在跨境关联交易之前企业的利润总额就显著降低,那么跨境关联交易企业的利润总额的降低就不完全是由于跨境利润转移引起的,我们将高估跨境关联交易中企业的避税行为。为此,本文进行平行趋势假设的检验,以企业与避税地子公司进行关联交易前一年为基期,考察之前年份回归系数的显著性。

同时,由于与避税地子公司进行关联交易年份及以后是一个连续的变量,即跨国企业每年都与避税地子公司进行关联交易,因此实验效果理论上每年都应该存在,因此本文进一步将实验节点年及之后的年份设置为各年份的时间虚拟变量,考察跨境关联交易对利润总额影响的效果连续性。具体实证模型如下式(2):


 

8474

4441


 

结果如图2所示,可以看出企业与避税地子公司进行关联交易前几年的回归系数均不显著,即实验组和控制组之间不存在显著差异,因此平行趋势假设成立。关联交易起始年及滞后5期各年份回归系数显著小于0,即企业与避税地子公司进行关联交易后,其利润总额产生了显著的下降,且利润转移行为具有持续性。这提示我们不应只关注新增对外投资与关联交易企业的避税情况,对于跨国企业的关联交易避税情况应每年重点监察。

13A85


 

图2 平行趋势及动态效应检验结果



2.安慰剂检验

本文已通过多维度控制变量对企业各方面特征进行控制,以使计量结果可以精确地表示避税地子公司关联交易对母公司利润的影响,但仍有可能存在一些未观测到的企业特征因素,使得利润的下降并非由于核心解释变量所导致,最终造成估计的偏误。因此,为进一步保证估计结果的稳健性,本文进行安慰剂检验。由于多期DID模型中关联交易时间存在差异,需通过同时随机生成伪实验组虚拟变量和伪关联交易虚拟变量,以检验本文核心解释变量的显著性是否确实由实验组对避税地的关联交易所引起。本文最终随机抽取246个企业作为实验组并分配随机的政策时间重新进行回归,重复此过程500次,最终得到500个新的核心解释变量系数及其P值,绘制于图3中。依据图3,随机处理过程中生成的解释变量系数主要集中于0附近,且P值大多高于0.1,而实际政策的估计系数为-0.19左右,表明本文基准回归结果并未明显受到潜在因素的影响,结果具有稳健性。

CF3E


 

图3 安慰剂检验结果



3.因果准确识别

企业与避税地子公司进行关联交易是否与企业利润总额有关?如果利润总额会影响企业是否与避税地子公司进行关联交易,那么上述回归结果就受到了企业层面一些差异化特征因素的干扰,即由于实验组和控制组之间的个体差异导致出现了自选择问题。为此,本文采用倾向得分匹配法(PSM)将实验组和控制组企业进行匹配,寻找与实验组企业自身特征极为相似的进行国内关联交易的企业作为控制组。本文参照白思达的处理方式,选取的特征企业规模、企业年龄、企业营业收入、企业负债等,匹配方法使用一对一匹配,匹配后的实验组和控制组除在是否与避税地子公司进行关联交易方面有差异,其他主要特征均大致相同。然后,本文利用匹配后的实验组与控制组再次进行回归,结果如表3所示。回归结果依然支持基准回归中的结论:与未进行避税地关联交易的企业相比,企业在与避税地子公司进行关联交易前后,利润总额表现出明显的下降趋势。

表3 倾向得分匹配法检验结果

10224


4.替换被解释变量

替换被解释变量进行稳健性检验,常用的一种思路是使用利润的不同表现指标。本文选取销售利润率和息税前利润率作为替代变量,即使用利润的比率形式代替对数形式进行稳健性检验。由于比率形式包含了营业收入、资产总额,本文在进行回归时对这两个变量加以控制,避免对结果造成干扰。回归结果如表4所示,可以看出,替换变量后,企业与避税地子公司进行关联交易对利润总额的影响依然是负向且显著的,证明了实证研究结果的稳健性。


表4 替换变量检验结果

DF26

5.排除特定类型企业

国有企业会更加注重企业形象,更多地考虑避税带来的各项风险,因此国有企业具有更低的可能性通过避税来获得收益。另外,跨国企业虽然有通过关联交易进行避税的动机,但是对特定行业来说,比如资源型行业,其关联交易的发生更多是出于获取当地自然资源的目的,关联交易的发生地很大程度上取决于资源的分布。因此本文分别删除了属于这两个类型的企业样本重新进行回归,以提高回归结果的精确性。删除国有企业样本的回归结果如表5第(1)(2)列所示,删除资源型企业样本的回归结果如表5第(3)(4)列所示。各系数依然显著,再次验证了实证结果的稳健性,证明企业与避税地子公司进行关联交易的确导致企业的利润总额相较于之前显著降低,跨国企业在关联交易过程中发生了利润转移行为。

表5 排除特定类型企业检验结果

EC70


五、机制检验与异质性分析


上文实证检验结果表明,我国跨国企业存在系统性利润转移行为,已实质上构成税基侵蚀风险。为了有效构建相应的防控机制,我们亟待明晰其利润转移路径及作用机制。只有精确识别关联交易中利润转移的具体手段,方能助力税务机关制定靶向监管策略,加强国际税收治理,进而通过优化国际税收监管体系遏制税源流失。跨国企业的利润转移路径主要包括转让定价、策略性无形资产配置、资本弱化、滥用税收协定等。本研究将基于企业微观数据对前三项进行实证检验。

(一)转让定价及策略性无形资产配置

转让定价是指跨国企业通过各种手段尽可能调整关联方交易价格,使利润从高税率国家转移到低税率国家或地区从而降低企业整体税负的一种方式。策略性无形资产配置指通过将如商标权等无形资产所有权转移至避税地关联实体,使集团其他成员企业通过向避税地企业定期支付高额无形资产使用费等获得税前抵扣,同时将积极经营所得转化为消极资本收益,从而将本企业经营利润转移至避税地企业,降低集团总体层面的税负。

Heckemeyer & Overesch指出,由于企业债务安排所产生的利息费用没有反映在息税前利润指标中,因此对息税前利润产生重要税收影响的手段只与转让定价和操纵无形资产有关,因此可以通过息税前利润指标来衡量企业是否通过这两种方式来进行利润转移。本文以息税前利润指标作为被解释变量进行回归,结果如表6所示。各个回归结果中的系数均显著小于0,可以证明企业通过转让定价和无形资产配置策略渠道进行了利润转移。

表6 转让定价及策略性无形资产配置渠道检验

16782

(二)资本弱化

企业举债所支付的利息通常作为财务费用在企业所得税前扣除。资本弱化是指通过操纵债务所在地,将更多的债务安排在高税率国家,从而可以产生更多的财务费用在企业所得税前扣除,达到在高税率国家少交税的目的。因此,本文通过检验在与避税地子公司进行关联交易前后企业财务费用相关指标是否发生显著变化,来探究企业是否通过资本弱化手段进行利润转移。选用的被解释变量为企业债资比(DA),分别进行回归并将结果进行对照,以增强本次检验的稳健性。结果如表7所示,可以看出三列系数均显著为正,说明跨国企业通过资本弱化这一手段进行了利润转移。

表7 资本弱化渠道检验


   

156EA

(三)异质性分析

上述研究表明,企业会通过转让定价和操纵无形资产的方式进行利润转移,那么,是否能进一步分别识别转让定价和无形资产配置策略的存在呢?下面通过两方面的异质性分析进行探讨。

1.成本比例

企业集团内部可通过转让定价的策略调高采购进货价,购入方可通过高进货成本获得抵扣税额,同时将企业的经营收入转移至售出方,以实现利润的归集。因此,本研究中与避税地进行关联交易的母公司,可能通过集团内部转让定价安排,通过支付给子公司高额成本,将母公司经营利润转移至避税地子公司并获得扣除,从而实现避税目的。为考察在关联交易中是否通过转让定价策略转移利润,本文依据母公司营业成本占营业收入的比重,将样本企业分为两组分别进行回归。如表9的(1)(2)列所示,高成本企业中解释变量显著为负,表明具有高营业成本的母公司更倾向于向避税地子公司转移利润。据此,应提升对转让定价的识别与监管,严格审查同期资料文档,防止跨国企业集团以避税为目的进行不合理的转让定价,从而维护我国的税基安全。

2.无形资产配置

集团的无形资产配置策略通过内部安排,将无形资产的所有权划分到避税地,使经营产生的利润通过支付无形资产使用费等方式转移到低税率国家或地区。本研究中,无形资产持有总额较低的母公司,可能存在将集团无形资产转移至境外避税地子公司从而获得扣除,并将境内经营利润以支付特许权使用费方式转至境外的利润转移策略。因此,为进一步考察在关联交易中企业是否通过无形资产配置策略转移利润,本研究将样本依据母公司无形资产中位数分为是否持有高额无形资产两组进行回归。结果如表8的(3)(4)列所示,仅低无形资产组的核心解释变量系数在1%的水平上为负,这证实无形资产持有较少的母公司更可能存在通过关联交易将利润转移至境外子公司的动机。据此,我国也应加强对跨国企业无形资产安排实质性的审查,重点识别是否存在以避税为目的的非常规资产配置行为。

表8 异质性分析结果

1453F


 


六、进一步分析


近年来,为遏制国际避税行为与避税手段丛生的乱象,“税基侵蚀和利润转移”(BEPS)和“共同申报准则”(CRS)两大国际反避税制度逐步实施落地。具体而言,BEPS自2013年启动后,通过完善转让定价规则和国别报告制度,压缩了跨国企业避税的操作空间;而2018年我国正式实施CRS框架下的首次跨国税收信息交换,进一步增强了税务机关对跨境关联交易的监管能力。在此背景下,境外子公司的避税行为可能受到一定程度的打击,从而推动母公司利润增长。

为进一步检验上述国际反避税制度是否有效减少了跨国企业通过关联交易削减母公司利润的行为,本文分别以2013和2018年作为分割点,分别选定2013年以前、2018年以前进行关联交易的企业为实验组,未进行关联交易的企业作为对照组,剔除关联交易之前的数据,重新构建DID模型对母公司利润水平进行回归,回归结果如表9所示。在控制不同固定效应的情况下,核心解释变量均显著为正,实验组的母公司利润相较于对照组显著上升,表明2013年BEPS和2018年CRS反避税制度的实施,均在一定程度上抑制了跨国企业利用关联交易转移母公司利润的行为,促使跨国企业调整全球利润配置策略。

表9 BEPS与CRS治理效果检验

1565A


 


七、研究结论及政策建议


在构建高水平对外开放新格局的战略背景下,我国实施全球化战略的企业数量持续攀升,跨国企业系统地利用各国税法政策的差异性进行避税的潜在风险引发学界关注。精准识别税基侵蚀与利润转移行为不仅关乎我国税收主权的维护,还有利于我国深度参与全球税收治理和规则制定。为此,本文基于国泰安2003—2023年企业跨境关联交易数据,构建多期双重差分模型实证检验避税地关联交易对企业利润的影响机制。研究发现:1)跨境关联交易对母公司的利润水平产生显著的负向冲击,且该效应呈现跨期持续特征;2)机制检验表明,转让定价、策略性无形资产配置、资本弱化均为企业实现利润转移的途径;3)利润转移行为在高营业成本、低无形资产母公司表现得更为突出;4)进一步分析显示,BEPS和CRS反避税制度有效遏制了向避税地企业进行利润转移的行为。

基于上述结论,本文提出以下三点政策建议:

一是中国应进一步深化国际税收合作,推动区域反避税协作机制的构建,积极参与全球税收治理规则的制定与调整。例如与BEPS项目其他参与国构建区域税收信息交换机制,加强研究包括“走出去”企业在内的跨国企业税基侵蚀与利润转移的基本特征,在借鉴国际税收治理体系的最新成果、理念与中国实践经验相结合的基础上,推动制订更适合中国实际的国际反避税体系。

二是应加快完善本土反避税法律法规,构建覆盖转让定价、无形资产交易、资本结构安排等多维度的监管体系。充分运用大数据和信息技术,依托金税四期系统,建立跨部门数据共享机制和智能化风险预警模型,提高对利润转移行为的识别和应对能力。重点关注与避税地进行关联交易的企业,不断完善转让定价等各种利润转移渠道的调整处理方法,审查企业的关联交易价格是否公允,无形资产、资本弱化的相关安排是否合理,及时识别问题、解决问题。

三是对于“走出去”企业,应在加强税收监管的同时,通过税收激励和正向引导机制,提高其国际税收遵从度,增强政策透明度和可操作性,推动形成规范经营和诚信纳税的良性生态。具体措施可包括明确跨境税收合规的“正面清单”和“红旗指标”,对主动、合规披露信息的企业给予征管便利等激励。同时,积极开展分行业、分地区的国际税收合规辅导,提高企业对BEPS和CRS等国际规则的认知与执行能力。